运算放大器压摆率的要点
出处:网络整理 发布于:2025-09-05 16:27:55
压摆率的定义与物理机制
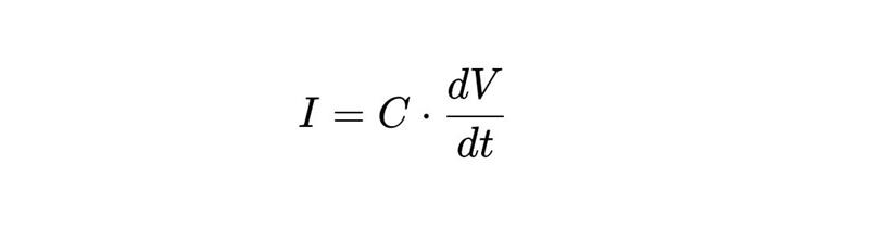
压摆率(Slew Rate,SR)指的是运算放大器输出电压的瞬时变化速率,其单位为伏特每微秒(V/μs)。从数学角度来看,其定义为:
压摆率反映了运算放大器在大信号条件下,对快速变化的输入信号的响应能力。
压摆率可以表示为:
这一关系表明,提升压摆率的途径是增大驱动电流或者减小补偿电容。
压摆率与信号完整性的关联
正弦波信号的压摆率约束
对于幅值为

的正弦波,其瞬时变化率的值为:
三角波化:若 SR < 2πfVp,输出波形的顶部会被削平,从而形成三角波。
相位滞后:在高频信号情况下,压摆率的限制会导致输出延迟,进而引发相位失真。
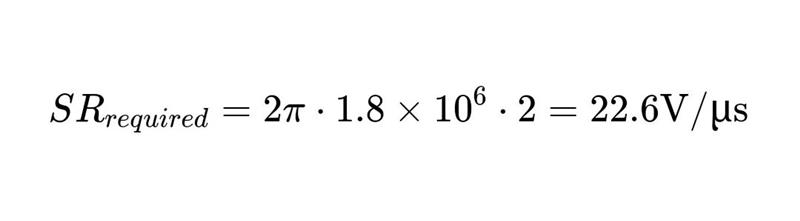
以 ADA4622 - 1 运放为例,其典型压摆率为 23V/μs。当输出 2Vp、1.8MHz 正弦波时:

此时压摆率接近极限,输出波形的底部会出现轻微失真;当频率提升至 2MHz 时,失真会显著加剧。
方波信号的边沿限制
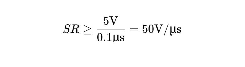
对于方波信号,压摆率直接决定了其上升 / 下降时间(tr/tf)。理想的方波要求运放的压摆率满足:
例如,要输出 5V 幅值、100ns 上升时间的方波,所需的压摆率为:
压摆率的设计权衡与优化策略
内部补偿与速度的平衡
运放通常通过米勒补偿来牺牲部分速度以换取稳定性。补偿电容(Ccomp)的值越小,压摆率越高,但相位裕度会降低,可能会引发振荡。例如:
未补偿运放:当 Ccomp = 0 时,压摆率可达数千 V/μs,但会存在严重的振铃现象。
典型补偿:当 Ccomp = 30pF 时,压摆率降至数百 V/μs,但相位裕度 > 45°,能够确保稳定。
设计建议:在高速应用中,可以选用具备压摆率增强电路的运放(如 LMH6629,SR = 1600V/μs),这类运放通过动态调整补偿电容来实现速度与稳定性的兼顾。
外部参数对压摆率的影响
电源电压:提高电源电压可以增大驱动电流,从而提升压摆率。例如,LM358 在 ±15V 供电时压摆率为 0.5V/μs,而在 ±5V 时仅为 0.2V/μs。
负载电容:当负载电容(CL)增大时,驱动电流需要同时对补偿电容和负载电容进行充放电,这会导致压摆率下降。公式修正为:
温度与工艺的影响
温度效应:高温会降低晶体管的迁移率,导致驱动电流减小。例如,某运放在 25℃ 时 SR = 10V/μs,在 125℃ 时会降至 7V/μs。
工艺偏差:同一批次运放的压摆率可能存在 ±20% 的偏差,因此在设计中需要预留一定的余量。
压摆率的测试与选型方法
测试方法
阶跃响应法:输入 10% - 90% 阶跃信号,测量输出电压的变化时间。例如,输入从 - 2V 跳变至 + 2V,时间差为 8μs,则压摆率为:
image
正弦波扫描法:逐步提高输入信号的频率,直到输出波形出现失真,记录临界频率与幅值,进而计算压摆率需求。
选型流程
确定信号特征:测量输入信号的幅值(Vp)与频率(f)。
计算压摆率需求:SR>2πfVp
选择运放:根据计算结果,选择压摆率 ≥ 需求值 1.5 倍的运放,并验证其负载能力与电源范围。
仿真验证:使用 SPICE 工具模拟运放在目标信号下的输出波形,确认无失真。
实例:设计一个输出 5Vp、100kHz 正弦波的放大电路:

选型:选择 ADA4891(SR = 22V/μs),通过仿真确认输出波形无失真。
压摆率在典型应用中的挑战与解决方案
高速 ADC 驱动
问题:ADC 输入信号需要快速建立,压摆率不足会导致采样误差。
解决方案:选用超高速运放(如 THS4521,SR = 5000V/μs),并优化 PCB 布局以减小寄生电容。
音频放大器
问题:大动态范围音频信号(如 10Vp、20kHz)需要高压摆率运放。
解决方案:采用轨到轨输出运放(如 OPA1652,SR = 27V/μs),并限制输入信号幅值以避免压摆率饱和。
485 通信接口
问题:高速通信需要限制压摆率以降低 EMI。
解决方案:选用压摆率可控运放(如 MAX485,SR = 10V/μs),通过外部电阻调整边沿速度。
总结与展望
压摆率作为运算放大器动态性能的指标,在设计时需要兼顾速度、稳定性与功耗。随着 5G、汽车电子等高速应用的不断发展,对压摆率的需求也将持续提升。
未来的研究方向主要包括:
新型补偿技术:如动态米勒补偿,实现压摆率与稳定性的自适应平衡。
宽禁带半导体应用:利用 GaN、SiC 器件的高频特性,开发超高压摆率运放。
AI 辅助设计:通过机器学习优化补偿网络,实现压摆率与噪声、功耗的多目标协同。
版权与免责声明
凡本网注明“出处:老太阳集团tcy8722网站电子市场网”的所有作品,版权均属于老太阳集团tcy8722网站电子市场网,转载请必须注明老太阳集团tcy8722网站电子市场网,,违反者本网将追究相关法律责任。
本网转载并注明自其它出处的作品,目的在于传递更多信息,并不代表本网赞同其观点或证实其内容的真实性,不承担此类作品侵权行为的直接责任及连带责任。其他媒体、网站或个人从本网转载时,必须保留本网注明的作品出处,并自负版权等法律责任。
如涉及作品内容、版权等问题,请在作品发表之日起一周内与本网联系,否则视为放弃相关权利。
- 深度剖析放大器稳定系数 K 与 Mu 的差异2025/9/2 16:44:05
- 什么是运算放大器失调电流2025/9/1 17:01:22
- 什么是运算放大器电源电压抑制比(PSRR)2025/9/1 16:48:49
- 有没有适配m1的模拟器2025/8/11 16:55:19
- ADI 即插即用型 D 类放大器的卓越特性与优势2025/8/8 16:36:07