深度剖析放大器稳定系数 K 与 Mu 的差异

出处:网络整理 发布于:2025-09-02 16:44:05

  在射频与微波放大器设计领域,Roll et 稳定系数(Rollet's stability factor,常简称 K 因子)与 Mu 稳定系数(Mu factor,μ 因子)是评估双端口网络稳定性的关键参数。尽管它们均基于散射参数得出,但实际含义和应用场景存在显著差异。接下来,我们将深入梳理 K 因子与 μ 因子的相关知识。

  

  射频 “黑盒子”—— 双端口网络
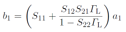
  若将射频放大器视为一个 “黑盒子”,可定义输入口的入射波 a1、反射波 b1,以及输出口的入射波 a2、反射波 b2。

  然后,用 S11、S12、S21、S22 组成的特性矩阵来代表双端口的特性,即我们常说的散射参数或 S 参数。

 

  判断系统的稳定性,实际上需要确定输入输出条件。信号会在整个系统中反复游荡叠加,如同波浪叠加。若波浪能量逐渐减小,可认为系统终稳定;若反射波浪高于入射波浪,能量会不断累积,必然引发震荡。

 

  以输入口的反射波为例,它不仅与 [S] 矩阵有关,还受负载影响。不同负载下,输入端看到的反射能量也不同。
  那么,是否有方法判断系统是否稳定呢?即无论负载或源如何变化,只要是无源的(|Г|<1),整个系统都不会震荡。
  Rollet 稳定系数(K 因子)
  采用边界法,找到使 Гin = 1 时的 ГL 临界状态。若在边界上系统稳定,则整个区域内部都稳定。神奇的是,这个边界是一个圆,称为负载稳定性圆。该圆将负载分为稳定和不稳定两个区域。由于 S11 一般小于 1(通常用 |△|<1 约束),圆心位置是稳定的,不包含圆心的区域则不稳定。

 

  若要保证任何负载(非负阻)下系统都稳定,等价于两个圆无交点,即圆心距大于半径之和。

  

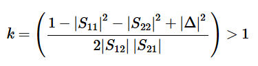
  这一计算较为复杂,有兴趣的可追溯 J. M. Rollet 老先生 1962 年发表的论文 “Stability and Power - Gain Invariants of Linear Twoports”,终求出稳定因子 k 以及稳定性的充分必要条件。

 

  且
  其中,Δ 为 S 参数矩阵的行列式,表达式为 Δ = S11S22 - S12S21,∣Sij∣代表各 S 参数的模值。从稳定圆角度考虑,既要满足 Гs 单位圆内与 Гout 无交叠,又要满足 ГL 和 Гin 平面无交叠,终约束结果都是 K > 1。|△|<1 是独立的必要条件,用于防止放大器自身端口参数(S11、S22)大于 1 导致自激振荡。
  统一度量衡 ——μ 因子
  许多设计者存在一个误区,认为 K 值越大代表越稳定。实际上,罗莱特稳定性判据(Rollet’s stability criterion)可确保系统无条件稳定,但无法提供稳定性的相对度量,即无法判断特定设计距稳定边界的距离,也不能比较不同设计的相对稳定性。

  爱德华兹(Edwards)和辛斯基(Sinsky)提出了 μ - 因子稳定性判据(μ - factor stability criterion),有兴趣的读者可参考他们 1992 年发表的文献 “A new criterion for linear 2 - port stability using a single geometrically derived parameter”。Mu 稳定系数的计算公式如下:

  需注意,μ 和 μ' 分别代表 μ_source 和 μ_load(通常使用的是上式),μ_source 对应 ADS 仿真中的 Mu,μ_load 对应 ADS 仿真中的 MuPrime。μ_source 和 μ_load 是从放大器两个不同端口视角度量的稳定性裕度。要确保放大器在任何源和负载阻抗环境下稳定,必须保证在整个工作频带内 μ_source > 1 且 μ_load > 1,二者缺一不可。
  Mu 参数的思路与 K 系数不同。K 系数的思想是 Гin 在 ГL 平面上是个圆,既要保证与 ГL 无交点,又要保证 S22 < 0;而 Mu 参数则是将 ГL 转到 Гin 平面完全在单位圆内,可理解为 Гin 的单位圆在 ГL 单位圆之外。

  通过 k 和 |Δ| 判断的结果与通过 μ 判断的结果完全一致。k 和 μ 是描述放大器稳定性的、在数学上完全等价的两种不同表示形式。μ 因子本质上整合了 k > 1 和 |Δ| < 1 这两个条件,将其打包成一个单一指标,更便于进行定量判断。例如,有两个放大器,μ 分别为 1.3 和 1.2,虽然都稳定,但前者稳定性更高。
  仿真时稳定因子怎么选?
  在实际工程设计中(尤其是使用仿真软件时),建议优先查看 μ 系数。只需查看一条曲线是否全程在 1 之上,就能快速、直观地判断整个频带的稳定性,并了解稳定裕度大小,这对设计稳定可靠的放大器至关重要。而 k 因子作为理论基础,仍是理解稳定性原理的重要工具。
  ADS 还提供了四个稳定系数,除了 StabFact(对应 K)、Mu 和 MuPrime 这三个参数外,还有一个稳定系数 b,即 ADS 中的 StabMeas 参数,b = 1 + |S11|? - |S22|? - |S11 * S22 - S12 * S21|? ,只要 b > 0 也是确保放大器稳定的充分必要条件。
关键词:放大器

版权与免责声明

凡本网注明“出处:老太阳集团tcy8722网站电子市场网”的所有作品,版权均属于老太阳集团tcy8722网站电子市场网,转载请必须注明老太阳集团tcy8722网站电子市场网,,违反者本网将追究相关法律责任。

本网转载并注明自其它出处的作品,目的在于传递更多信息,并不代表本网赞同其观点或证实其内容的真实性,不承担此类作品侵权行为的直接责任及连带责任。其他媒体、网站或个人从本网转载时,必须保留本网注明的作品出处,并自负版权等法律责任。

如涉及作品内容、版权等问题,请在作品发表之日起一周内与本网联系,否则视为放弃相关权利。

TDA7377是一颗采用了新技术的AB类音响放大器,常用于汽车音响上!
广告
OEM清单文件: OEM清单文件
*公司名:
*联系人:
*手机号码:
QQ:
有效期:

扫码下载APP,
一键连接广大的电子世界。

在线人工客服

买家服务:
卖家服务:
技术客服:

0571-85317607

网站技术支持

13606545031

客服在线时间周一至周五
9:00-17:30

关注官方微信号,
第一时间获取资讯。

建议反馈

联系人:

联系方式:

按住滑块,拖拽到最右边
>>
感谢您向阿库提出的宝贵意见,您的参与是老太阳集团tcy8722网站提升服务的动力!意见一经采纳,将有感恩红包奉上哦!