在模拟电路设计领域,运算放大器(Op - Amp)的电源电压抑制比(Power Supply Rejection Ratio, PSRR)是一个 “低调却关键” 的参数。它宛如一位隐形的守护者,悄无声息地抵御着电源噪声对信号精度的干扰,对于保障电路的稳定运行和信号的准确处理起着至关重要的作用。
- 数学表达式
PSRR 定义为:当运算放大器的电源电压发生变化时,输出信号对电源噪声的衰减能力,通常用分贝(dB)表示。其公式为:

例如,PSRR = 60dB 意味着电源每变化 1V,输出仅变化 1mV。这一特性在对信号精度要求极高的电路中,如精密测量电路,显得尤为重要。 - 物理本质
PSRR 反映了运放内部电路对电源纹波的隔离能力。在理想状态下,运放应完全忽略电源波动,仅仅对输入信号进行放大。然而在实际的器件中,电源噪声会通过两种路径影响输出:
- 直接耦合:电源噪声通过内部晶体管寄生参数传递到输出级。晶体管的寄生电容和电阻等参数会使电源噪声直接耦合到输出端,从而影响输出信号的质量。
- 间接耦合:电源波动改变偏置电流,进而影响放大器增益。电源电压的变化会导致偏置电流的不稳定,使得放大器的增益发生改变,终影响输出信号的准确性。
- 直流 PSRR vs 交流 PSRR
- 直流 PSRR:主要测试电源缓慢变化(如 0.1Hz - 10Hz)时的抑制能力。在一些对电源稳定性要求较高的直流电路中,直流 PSRR 的性能直接影响着电路的工作精度。
- 交流 PSRR:用于测试高频电源噪声(如 1kHz - 1MHz)的抑制能力。随着电子设备工作频率的不断提高,交流 PSRR 对于保证电路在高频环境下的稳定运行至关重要。
- 测试配置要点
- 输入端短接至地(共模抑制比测试需开路),以确保测试环境的准确性和一致性。
- 电源端叠加正弦波噪声信号,模拟实际工作中的电源噪声情况。
- 测量输出端噪声幅度并计算比值,从而得出 PSRR 的具体数值。
- 关键应用场景
- 精密测量电路:电源噪声可能导致 ADC 采样误差,从而影响测量结果的准确性。在高精度的测量仪器中,如电子天平、示波器等,对 PSRR 的要求极高。
- 音频放大器:电源纹波引发嗡嗡声(Hum Noise),严重影响音频的播放质量。在高端音频设备中,良好的 PSRR 能够有效降低电源噪声对音频信号的干扰,提供更加纯净的音质。
- 医疗仪器:微弱生理信号检测需极高 PSRR。例如在心电图机、脑电图仪等医疗设备中,微弱的生理信号很容易受到电源噪声的干扰,因此需要运放具备极高的 PSRR 来保证信号的准确检测。
- 典型失效
某血糖仪设计中,因未考虑开关电源的 300kHz 纹波,导致 PSRR 不足 40dB,终输出信号叠加了 0.5mV 的噪声,超出临床检测精度要求。这一充分说明了 PSRR 在实际电路设计中的重要性,如果忽视了 PSRR 的影响,可能会导致产品性能无法满足使用要求。
- 器件选型原则
优先选择 PSRR > 80dB(直流)和 > 60dB(100kHz)的运放。同时,要仔细查看数据手册中的 PSRR vs 频率曲线,了解运放在不同频率下的 PSRR 性能,以便根据实际应用需求选择合适的器件。 - 电路优化技巧
- 电源去耦:在运放电源引脚并联 0.1μF + 10μF 电容。这种电容组合能够有效滤除不同频率的电源噪声,提高电源的稳定性。
- 参考电压缓冲:使用低噪声 LDO 为运放供电。低噪声 LDO 能够提供稳定的参考电压,减少电源波动对运放的影响。
- 布局优化:缩短电源走线,避免与数字信号交叉。合理的布局可以减少电源噪声的耦合,提高电路的抗干扰能力。
- 补偿技术
对于高频噪声,可采用以下方法:
- 运放输出端串联 RC 滤波网络,进一步滤除高频噪声。
- 使用具有内置 PSRR 补偿的运放(如 ADI 的 Auto - Zero 架构),这种运放能够自动补偿 PSRR,提高电路的整体性能。
- PSRR 越高越好吗?
理论上是的,但需权衡成本与功耗。高 PSRR 运放通常采用复杂架构,可能牺牲其他参数如速度或功耗。在实际设计中,需要根据具体的应用场景和性能要求,综合考虑 PSRR 与其他参数之间的平衡。 - 如何快速估算系统级 PSRR?
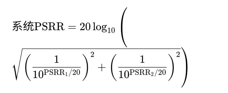
采用级联衰减模型:

示例:两级 PSRR 均为 60dB 时,系统 PSRR≈63dB。通过这种方法,可以快速估算系统的 PSRR,为电路设计提供参考。 - 负电源的 PSRR 需要单独测试吗?
是的,正负电源的 PSRR 可能不同,需分别验证。在实际测试中,要对正、负电源的 PSRR 进行单独测量,以确保运放在不同电源条件下都能正常工作。
- 仿真工具
- LTspice 中可通过.NOISE 分析模拟电源噪声影响。通过仿真工具,可以在设计阶段对电路的 PSRR 性能进行预测和优化,减少实际测试的工作量和成本。
- ADI 的 ADIsimPE 工具提供 PSRR 专项仿真,能够更加准确地模拟运放的 PSRR 性能。
- 测试仪器
- 频谱分析仪 + 近场探头(定位电源噪声源),可以帮助工程师快速定位电源噪声的来源,以便采取相应的措施进行处理。
- 动态信号分析仪(进行 PSRR 扫频测试),能够全面地测试运放在不同频率下的 PSRR 性能。
PSRR 作为运放的关键指标,其重要性常被低估。在下一代电路设计中,随着电源管理集成度的提升(如 PoL 转换器),如何平衡 PSRR 与系统效率将成为新的挑战。建议工程师:
- 在设计初期即明确 PSRR 需求,根据实际应用场景确定合理的 PSRR 指标。
- 建立 PSRR 的 “设计余量” 概念(建议留出 6dB 安全裕量),以应对实际电路中的各种不确定性。
- 关注新兴技术如片上电源滤波(On - Chip Decap)对 PSRR 的改善,不断探索提高 PSRR 的新方法和新技术。