在当今电子技术飞速发展的时代,电磁干扰(EMI)问题日益凸显。特别是在心电图(ECG)和生物阻抗(BioZ)模拟前端(AFE)电路中,如何有效抑制电磁干扰,成为了工程师们面临的重要挑战。本文将深入探讨传统共模 / 差模无源电磁干扰(EMI)滤波器的分析与设计准则,以及不平衡的 EMI 滤波器如何影响电路性能,帮助读者更好地与 EMI 滤波器实现 “和谐共舞”。
随着电子设备的不断增多和复杂程度的提高,电磁干扰问题愈发严重。在 ECG 和 BioZ AFE 电路中,外部电磁干扰可能会混入差模信号路径,降低信噪比(SNR)性能,从而影响测量的准确性。因此,设计合适的 EMI 滤波器至关重要。
图 1 展示了 MAX30001 心电图(ECG)模拟前端(AFE)的典型电路原理图。其中,两个外部电磁干扰(EMI)滤波器是传统的共模转差模滤波器电路,兼具共模和差模带宽限制功能。

传统的共模转差模无源滤波器常用于减轻环境噪声。在心电图应用中,带宽通常限制为 256 Hz(512 SPS)或更低,交流电源线产生的 50 Hz/60 Hz 信号往往是破坏性的电磁干扰源头。如果共模转差模无源滤波器存在失衡问题,不需要的信号(噪声)可能会损坏目标差模信号。

共模转差模无源(EMI)滤波器可看作是由共模 RC 滤波器和差模 RC 滤波器组成的复合滤波器。这些滤波器结构常被用作采样模数电路中的抗混叠滤波器(AAF)。

共模滤波器在电路不平衡时,可能成为噪声的传播媒介。元件容差、温度系数、电压系数等因素都可能导致电路不平衡。在电噪声环境中,共模滤波器的共模抑制能力决定了有多少噪声会注入到差模通道中,从而降低目标信号的信噪比(SNR),这种现象称为共模至差模转换(共模转差模)。
在分析共模转差模传递函数之前,我们先计算平衡共模转差模滤波器的共模和差模电路带宽。图 5 展示了平衡共模配置和平衡差模配置的等效电路。

在平衡共模电路中,差模电容 CDM 不影响电路带宽,共模带宽由 R × CCM 的时间常数决定。在平衡差模电路中,应用电路镜像技术,用两个数值为 2 × CDM 的串联电容代替差模电容,差模带宽由 R (CCM + 2 × CDM) 的时间常数设定。
需要注意的是,这些实用的带宽表达式只是理想值,任何电路不平衡都会影响共模和差模带宽。电路不平衡可能导致差模信号强度减弱,但可通过增加后续级的增益来弥补。然而,在外部存在噪声的环境中,电路不平衡会通过共模转差模转换导致差模通道的信噪比下降。
图 6 展示了一个共模转差模电路分析的等效拓扑结构:桥式电路。

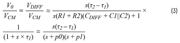
桥式电路(如惠斯通电桥)自十九世纪中叶以来就得到了广泛应用。将相关公式应用于图 6 中的电路,可得到共模至差模转换的传递函数。

这个传递函数有三个极点和两个零点,是一个 3 阶 1 型系统传递函数。研究各个单独的项有助于深入了解如何进行可能的简化。极点 p1 和 p2 将确定两个较高的频率转折点,而极点 p0 将确定一个较低的频率转折点。默认情况下(由于存在额外的电容),BWp0 <BWp1 ≈ BWp2。如果采用了较大的 CDIFF (CDIFF>> C1||C2),则较低频率(即低于 BWp0)的共模噪声传递对于 C1 和 C2 的不匹配将变得不那么敏感。
参考图 5 中的带宽近似值,如果 R1≈ R2 且 C1≈ C2,极点 p1 和 p2 与共模带宽相对应,极点 p0 与差模带宽相对应。进一步来看,如果 R1≈ R2 且 C1≈ C2,零点 Z1 近似等于两个极点 p1 和 p2 中的任意一个。消去一对近似相等的极点 / 零点,可得到一个实用的传递函数近似值。

被消去的这对极点 / 零点在低频时不会影响共模转差模的增益。在高频情况下(对于调幅 (AM) 无线电发射而言,频率≥535 kHz 时),根据 EMI 滤波器的不匹配程度,它确实会带来一些增益误差。
对公式进行分析可以发现,当分子中的两个时间常数相等时,电路处于完全平衡状态,此时传递增益为零(即具有无限大的共模抑制能力)。但在实际中,这种情况非常罕见。即便手动对电路进行平衡调节,诸多其他因素(诸如元件老化、温度变化、电压影响等)仍会致使电路偏离这种理想状态。因此,设计人员应投入更多时间来了解共模转差模转换对元件容差的敏感程度,这将有助于为共模电磁干扰噪声设定初始的抑制级别。
为了更好地理解共模转差模传递函数,我们来看一个具体的示例。假设每个元件都有 0.1% 的容差,通过相关公式计算,可以估算在 50 Hz/60 Hz 和 535 kHz 时的衰减。

手动计算结果与电路仿真结果非常吻合。表 1 重点显示了该电路在 50 Hz/60 Hz 和 535 kHz 频率下,针对不同元件容差水平的共模转差模抑制能力。

从表中可以看出,RC 时间常数的容差会影响共模抑制能力。例如,如果 R1 和 R2 是容差为 1% 的元件,C1 和 C2 是容差为 10% 的元件,那么坏情况下的 RC 时间常数失配率为 22%,与容差为 0.1% 的参考情况相比,共模抑制能力会降低 35 dB。
图 10 展示了共模抑制比与 Delta Tau 的关系曲线,其中 Delta Tau 表示 RC 时间常数失配量。从该曲线图的斜率可知,每当 RC 时间常数失配量翻倍时,共模抑制比就会降低 6 dB。

- 预测并验证电磁干扰 (EMI) 环境:了解电磁干扰的来源和特性,为设计滤波器提供依据。
- 等效的共模转差模电路是一种桥式电路,属于非线性电路:通过合理选择 CDIFF,设计人员能够利用公式及计算得出的转折频率,轻松估算共模转差模的转换情况。
- 增大 CDIFF 的值:会降低电路对 C1 和 C2 之间失配的敏感度,也会降低对 Delta Tau(即共模 RC 时间常数失配)的敏感度。
- 根据一阶近似:每当 RC 失配量翻倍时,共模抑制比就会下降 6 dB。
- 元件制造容差只是其中一个影响因素:温度、电压以及元件老化也会对元件之间的失配产生影响。
- 所有的计算都是基于坏情况下的失配进行的:其他任何情况只会使电路性能更好,终达到理想的无限大共模抑制比。
- 分析并理解所用的电路:找出性能方面的权衡取舍及适用的近似计算方法。不要仅仅依靠仿真来进行设计。
- 这种分析方法可以扩展应用到 AAF 的设计中:为抗混叠滤波器的设计提供参考。
为 ECG 应用设计 EMI 滤波器时,首先要设定差模信号带宽。在健康应用场景中,通常以心率的 R'-R' 测量为目标,这可以在较低的带宽 (40 Hz) 下实现,而心律失常检测应用则需要更高的带宽 (256 Hz)。
在此示例中,将为心律失常检测应用设计一个带宽为 256 Hz 的 EMI 滤波器。根据 IEC 60601-1 安全合规性要求,电阻值存在一个限度。为了保护患者,单一故障条件下的直流电必须限制在 50 μA 以内。因此,如果 ECG AFE IC(例如 MAX30001、MAX30003、MAX30005 、MAX86176 或 MAX86178)由 1.8 V 电源供电,则电阻值应为 36 kΩ(1.8 V/50 μA)。
在选择电阻值时,需要重新审视相关公式。通过增大分母的值(增加电阻值,同时保持 CDIFF 与 CCM 比率恒定),可以降低共模到差模的转换。但电阻会产生约翰逊热噪声,这种噪声可能会导致差模信号出现误差。为了减少这种噪声源,建议电阻值小于兆欧 (MΩ) 级。
选择电阻值为 330 kΩ、容差为 0.1% 的电阻,两个共模电容可以具有较大的容差,这样还能节省成本。通过合理选择差模电容的值,可以降低电路对共模电容的敏感度。
需要注意的是,当使用干电极进行 ECG 测量时,通常不建议使用 EMI 滤波器。因为对于干电极与组织之间较高的阻抗接口而言,EMI 滤波器提供了一条较低阻抗的路径,可能会使 AFE 器件中仪表放大器的高共模抑制能力失效。如果无法在所有环境条件下做到极其的匹配,EMI 滤波器可能会降低整个系统的共模抑制性能。
为 BioZ 应用设计 EMI 滤波器时,首先要设定差模信号带宽。BioZ 技术涉及将交流信号注入人体组织,然后对返回信号的幅度和相位信息进行分析。因此,滤波器产生的任何相位失真都会引入信号误差。
为避免相位失真,建议将差模转折频率设置为比驱动频率高出几个数量级。MAX30001 BioZ 电路提供了 125 Hz 至 131.072 kHz 的注入信号范围。由于差模带宽不能大于共模带宽,因此将差模频率转折设定为 535 Hz,同时将标称共模转折频率设定为 53.5 kHz(比 AM 无线电波段低一个数量级)。
选择电阻值为 330 kΩ、容差为 0.1% 的电阻,C1 = C2 = 10 pF(10% 容差),CDIFF = 400 pF(10% 容差)。通过相关公式计算,可以得出电路的共模带宽、差模带宽以及在不同频率下的共模抑制能力。
在为 BioZ 应用设计 EMI 滤波器时,如果注入信号频率较高(大于 535 Hz),对 AM 无线电频段的共模抑制能力将会减弱。此外,较高的 BioZ 注入频率会促使设计采用电阻值更低的电阻。
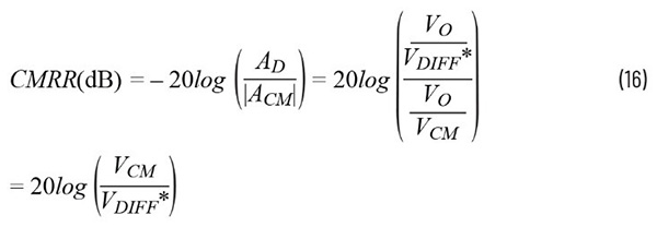
共模抑制比(CMRR)与共模转差模转换存在反向关联特性。CMRR 是一个正项(通常情况下),共模转差模传递函数则是电路增益,其值通常小于 1 V/V(即一个负的 dB 值)。通过对 CMRR 表达式进行重新整理,可以用公式来阐明这种关系。

CMRR 是用于比较不同电路性能的一个实用指标,但它无法直接解释在 EMI 滤波器电路的传递函数中所发生的共模转差模行为。因此,本文采用的分析方法能够更有效地评估和解释不平衡 EMI 滤波器所带来的影响。
关键词:EMI 滤波器