开关电源中的电感~

出处:网络 发布于:2025-07-24 16:19:13

在开关电源设计领域,电感是至关重要的电子元件。开关电源设计的任务之一,是在功率开关管导通时将能量存储起来,当开关管关断时把存储的能量提供给负载,以维持电流的连续。虽然电容在特定的功率变换器(如电荷泵)中也能实现类似功能,但在绝大多数 AC/DC 转换过程中,除了负载电流需求极小的情况,电感都是不可或缺的元件。


如今,市面上绝大多数电感都能从众多供应商处直接购买到现成的产品。然而,电源设计者仍需具备基本的磁性材料知识,以便准确确定所应用场合下电感需满足的关键参数。


电感中的能量存储于磁场之中,该磁场由导体上线圈(与磁芯耦合)通过一定电流产生。磁场随电流增加而建立,电流在磁场消失时继续流动,其波形如图所示。此波形展示的是简单降压型稳压器中一些节点的情况。该电路包含一个功率开关,开关导通时电感电流上升,整流二极管在开关管关断时使电感电流续流。图中个波形显示了电感输入节点处的电压,开关管关断时接近零,在这个例子中,电感输出端的电压假定为 VO。第二和第三个波形呈现了功率开关管和整流二极管之间电流的交替变化,这两个电流在电感中叠加(如底部波形)便形成了电感中的电流,开关导通时电感电流上升,关断时下降,其平均值等于负载电流。


电感电流的峰峰值 IAC 由电感值决定,在稳态条件下,电流计算公式为:IAC= 峰峰值纹波电流 =ΔI=V×Δt/L,其中 V 为电感两端的电压。所以电感电流的两种状态分别为: 以及 。在稳态条件下,电感平均电流固定,因此上述两个等式必然相等。


电感纹波电流值通常是选择电感值时的主要考量因素,其结果会对电源设计的诸多方面产生影响。若选择较低感量的电感,会有较少的绕制匝数、较低的绕组损耗、较高的直流饱和电流,并且能从阶跃负载变化中更快恢复(动态响应快);若选择较高感量的电感,则可减少磁芯和绕组的交流损耗、降低功率开关管中的导通损耗、减少输出电容中的交流电流,同时降低负载电流要求。所以,电感的选择并无 “值”,合理即可。总的指导原则或经验法则是,选择一个电感值,使在输入电压时,电感纹波电流为输出负载电流的 10% - 30%。


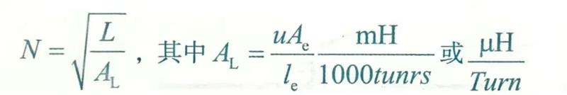
在确定电感值后,电感所需的绕组匝数取决于特定的磁芯,由公式确定。术语 AL 是磁芯制造商定义的参数,习惯上称为电感系数,它表示具有一定形状和尺寸的磁芯上每一匝线圈产生的电感量。其单位为 H/N2(N 为绕线匝数),为使用方便,磁芯供应商一般会将其转换为更常用的值,如 mH/(1000×N)2 或在频率更高时为 nH/N2,每个磁芯的 AL 值都是的。


电感设计的另一个重要方面是选择合适的磁芯材料,实际中有多种选择,如图为一些常见的磁芯材料列表。饱和电流大小也是电感设计的关键参数,因为大多数磁芯只能在有限的磁通密度 B 下工作。不同类型材料具有不同的饱和特性,当磁性元件饱和时,会失去磁性,电感降至零,电流迅速上升。这对于电源电感尤为重要,因为此类应用通常具有较高的电流和交流分量。电感峰值磁通密度由公式确定:磁通密度(单位 Tesla),其中 L 为电感量(单位:H),Imax 为峰值电流(?)(单位:A),Ae 为磁芯的有效截面积(单位:m2),N 为绕组线圈匝数。


值得注意的是,上述公式中的几个参数相互关联,必须参照制造商的产品数据表进行选择,以挑选合适大小的磁芯绕制一定圈数,且磁芯饱和密度要大于计算值。通常,通过迭代过程完成整个设计是较好的办法,这需要多次平衡匝数、磁芯尺寸、饱和电流之间的关系。

关键词:开关电源

版权与免责声明

凡本网注明“出处:老太阳集团tcy8722网站电子市场网”的所有作品,版权均属于老太阳集团tcy8722网站电子市场网,转载请必须注明老太阳集团tcy8722网站电子市场网,,违反者本网将追究相关法律责任。

本网转载并注明自其它出处的作品,目的在于传递更多信息,并不代表本网赞同其观点或证实其内容的真实性,不承担此类作品侵权行为的直接责任及连带责任。其他媒体、网站或个人从本网转载时,必须保留本网注明的作品出处,并自负版权等法律责任。

如涉及作品内容、版权等问题,请在作品发表之日起一周内与本网联系,否则视为放弃相关权利。

PWM驱动电路TL494在开关电源当中的实际应用!
广告
OEM清单文件: OEM清单文件
*公司名:
*联系人:
*手机号码:
QQ:
有效期:

扫码下载APP,
一键连接广大的电子世界。

在线人工客服

买家服务:
卖家服务:
技术客服:

0571-85317607

网站技术支持

13606545031

客服在线时间周一至周五
9:00-17:30

关注官方微信号,
第一时间获取资讯。

建议反馈

联系人:

联系方式:

按住滑块,拖拽到最右边
>>
感谢您向阿库提出的宝贵意见,您的参与是老太阳集团tcy8722网站提升服务的动力!意见一经采纳,将有感恩红包奉上哦!